Thông tin ...
Giới thiệu về loạt video này, thông tin chi tiết và hướng dẫn học
Độ dài video: 1202 giây
Thời gian đăng: 2014-09-13T04:49:19.000Z
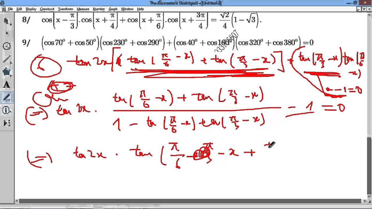
Mô tả: Link playlist "[TOÁN LTĐH 10-12] Chương V Lượng giác, những kỹ năng biến đổi cực giỏi" :http://goo.gl/1PVOD9 --------++++++++++___++++++++++ [TOÁN LTĐH 10-12] Chương V Lượng giác. 26 BT60-62 Chứng minh những đẳng thức lượng giác tổng quát hay Loạt video này thầy chú trọng đến việc rèn luyện những kỹ năng suy luận và biến đổi lượng giác từ cơ bản, tức là từ một người không biết gì về lượng giác thành một người có khả năng tự suy luận và lập luận để trình bày một bài toán lượng giác một cách hay và nhanh nhất. Chương trình lớp 10 chỉ hướng đến việc biến đổi những hệ thức lượng giác, lớp 11 và 12 là vận dụng những biến đổi đó vào các bài toán phương trình lượng giác dùng cho LTĐH sau này. Sau khi kết thúc chương trình lớp 10, qua phần lớp 11 và 12 thầy sẽ upload thêm những video mới vào playlist này để tạo thành 1 chuyên đề luyện thi đại học bá đạo nhất về các bài toán lượng giác khó để các em có thể dùng làm tài liệu ôn tập và LTĐH sau này. --------++++++++++___++++++++++ Link download File bài giảng về học: http://goo.gl/LJwNsn Link trên là thư mục chứa toàn bộ bài giảng của thầy trong lớp 10, các em có thể bookmark link để dễ dàng truy cập lại nhen. ĐỀ: 'mệnh đề', 'tập hợp', 'hàm số', 'ltdh', 'luyện thi', 'đại học', 'đồng biến', 'nghịch biến', 'hàm mũ', 'tích phân', 'logarit', 'số phức', 'bất đẳng thức', 'dễ', 'khó', 'nâng cao', 'hình học', 'giải tích', 'học sinh giỏi', 'đậu', 'lượng giác', 'khối', "A", "B", "C","Anh văn","mới bắt đầu", 'anh văn 10', 'anh văn 11', 'anh văn tuyển sinh', 'hóa 10', 'sách giáo khoa hóa' 'nguyên tử' ' hạt nhân' 'elcectron' 'lượng giác' 'tổng ôn' 'tập' 'kỹ năng lượng giác' 'biến đổi chứng minh lượng giác' ++++++++++++++++++++++++++++++++++++ Page "Trần Quốc Hoài và những tên đệ": https://www.facebook.com/TQHvaNhungTenDe/ Subcribes Youtube để được cập nhật video mới nhất: http://www.youtube.com/subscription_center?add_user=bsquochoai ++++++++++++++++++++++++++++++++++++ *********** Website của thầy và các bạn trao đổi học tập và trả lời các câu hỏi: http://bsquochoai.ga