Thông tin ...
Giới thiệu về loạt video này, thông tin chi tiết và hướng dẫn học
Độ dài video: 2114 giây
Thời gian đăng: 2014-09-01T03:31:26.000Z
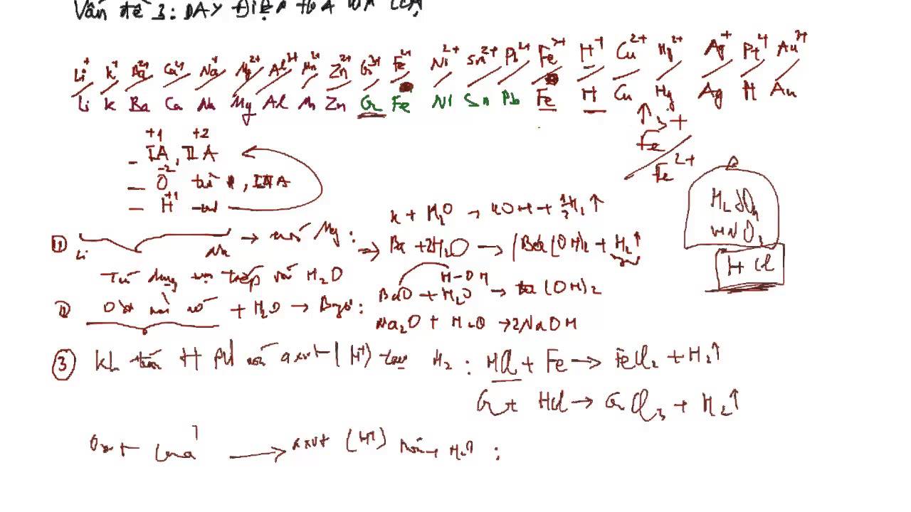
Mô tả: Link playlist "[MẤT CĂN BẢN HÓA] Quy tắc trong các vấn đề căn bản hóa học" :http://goo.gl/OzU7Ga --------++++++++++___++++++++++ [Mất căn bản HÓA] Vấn đề 3 Dãy điện hóa kim loại cực kỳ quan trong căn bản cần phải nhớ Đây là playlist trình bày hầu hết các vấn đề hóc búa và các dạng bài tập hóa mạnh để các em có khả năng suy luận và ứng dụng vào hóa học chương trình nâng cao. Các bạn mất căn bản hóa cần xem và HỌC THUỘC LÒNG những thứ thầy kêu, các bạn khác cũng nên coi qua để tổng hợp được kiến thức mình đã học. --------++++++++++___++++++++++ Đây là playlist trình bày hầu hết các vấn đề hóc búa và các dạng bài tập hóa mạnh để các em có khả năng suy luận và ứng dụng vào hóa học chương trình nâng cao. Các bạn mất căn bản hóa cần xem và HỌC THUỘC LÒNG những thứ thầy kêu, các bạn khác cũng nên coi qua để tổng hợp được kiến thức mình đã học. LINK DOWNLOAD TÀI LIỆU: http://goo.gl/LJwNsn -- thư mục [MẤT CĂN BẢN HÓA] CÁC BÀI TẬP TỰ LUYỆN TẬP ĐỀ: ''MẤT CĂN BẢN', 'HÓA', 'mệnh đề', 'tập hợp', 'hàm số', 'ltdh', 'luyện thi', 'đại học', 'đồng biến', 'nghịch biến', 'hàm mũ', 'tích phân', 'logarit', 'số phức', 'bất đẳng thức', 'dễ', 'khó', 'nâng cao', 'hình học', 'giải tích', 'học sinh giỏi', 'đậu', 'lượng giác', 'khối', "A", "B", "C","Anh văn","mới bắt đầu", 'anh văn 10', 'anh văn 11', 'anh văn tuyển sinh', 'hóa 10', 'sách giáo khoa hóa' 'nguyên tử' ' hạt nhân' 'elcectron' ++++++++++++++++++++++++++++++++++++ Page "Trần Quốc Hoài và những tên đệ": https://www.facebook.com/TQHvaNhungTenDe/ Subcribes Youtube để được cập nhật video mới nhất: http://www.youtube.com/subscription_center?add_user=bsquochoai ++++++++++++++++++++++++++++++++++++ *********** Website của thầy và các bạn trao đổi học tập và trả lời các câu hỏi: http://bsquochoai.ga